为全面贯彻《全民健身条例》,着力落实《深圳市全民健身实施计划(2022-2025年)》,推动全民健身运动广泛开展,增强市民健身意识,我市于2021年3月至12月在全市范围内的幼儿园、学校、社区、机关、企事业等单位进行了体质测试,受测市民共计50820人(次)。经对测试数据严格审核后,随机抽取23527人参加本次统计分析。
一、市民体质综合状况
2021年深圳市体质综合评定达到《国民体质测定标准》“合格”以上标准的人数比例(以下简称“达标率”)为92.0%。其中,3~6岁幼儿为96.5%,20~39岁成年甲组为91.8%,40~59岁成年乙组为90.4%,60~69岁老年组为85.5%,男性为90.3%,女性为93.6%。(表1、图1)
表1 2021年深圳市体质达标等级统计表(%)

图1 深圳市各组别体质综合达标率情况图
二、居民体质变化情况
(一)幼儿身体形态发育情况
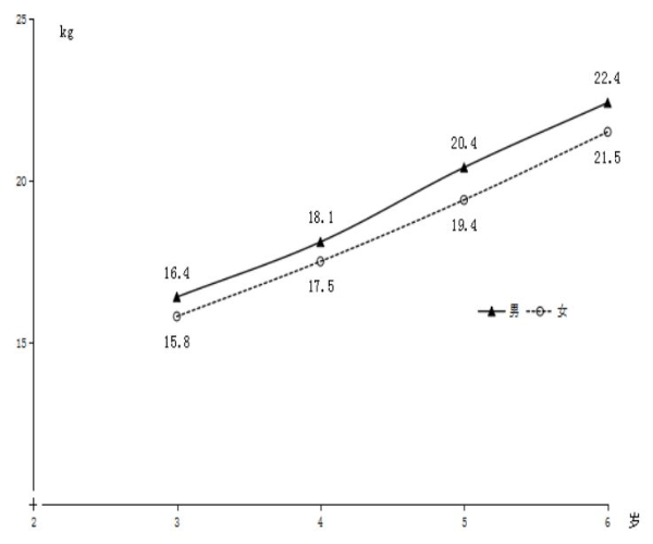
我市3~6岁男、女童身高、体重均呈现出随年龄增长而快速增长的趋势。至6岁时,男、女身高平均数分别为118.9厘米和117.8厘米,男、女身高相差1.1厘米,体重平均数分别为22.4千克和21.5千克,男、女体重相差0.9千克。幼儿阶段,男童身高平均年增长5.6厘米、女童平均年增长5.7厘米,男童体重平均年增长2千克,女童体重平均年增长1.9千克。(图2.1、图2.2)

图2.1 深圳市男、女幼儿身高平均数变化趋势图

图2.2 深圳市男、女幼儿体重平均数变化趋势图
(二)BMI指数变化情况
BMI指数(身体质量指数,英文为Body Mass Index)是目前国际上常用于衡量人体胖瘦程度以及是否健康的一个标准,BMI指数=体重(kg)/身高(m)2。2021年,我市男性呈现出随年龄增长,BMI指数平均数、超重率、肥胖率先增长后下降的趋势,女性则呈现出随年龄增长,BMI指数平均数、超重率也相应增长的趋势。其中,男性在30~34岁年龄组以后,女性在45~49岁年龄组以后,BMI指数平均值均超过或接近超重界限值(BMI指数大于等于24)。(图3)
分析各年龄组BMI指数超重率发现,男性在35~39岁以后各个年龄组中超重率均超过40%,女性则在45~49岁以后年龄组超重率接近或超过40%。表明男性在35岁以后、女性在45岁以后应该更加注意保持良好的身体形态。(图4)
在此建议广大市民要养成良好的运动习惯,根据自己的学习、工作和生活习惯,选择最适合自己、力所能及的健身方式,鼓励市民利用碎片化时间开展居家健身、工作地健身。通过合理的运动与饮食控制,调节自身BMI指数,保持在18.5~23.9的正常范围内。体重过轻或者过重对身体都是有害的,体重过轻易出现消化系统疾病、自身免疫力差等问题,过重会影响人体身体素质和运动能力,也会增加疾患高血压、冠心病、糖尿病等慢性病的风险。

图3 深圳市20~69岁男、女BMI指数平均数变化趋势图

图4 深圳市20~69岁男、女BMI指数超重率变化趋势图
(三)成年乙组心功能水平女性好于男性,男性肺功能水平普遍好于女性
各年龄组男、女机能指标(台阶指数、肺活量),其中台阶指数单项达标率男性分别为甲组75.9%、乙组82.1%,女性分别为甲组76.3%、乙组85.7%;肺活量男性分别为甲组83.0%、乙组81.3%、老年组72.7%,女性分别为甲组81.7%、乙组76.0%、老年组71.0%。经统计检验,成年女乙组台阶指数达标率比男乙组高3.6%,差异显著(p<0.05),表明成年男性心功能水平均好于女性。男、女性肺活量达标率随组别变化而下降的趋势也需引起注意。(图5)

图5 深圳市20~69岁机能指标(台阶指数、肺活量)各组别达标率情况图
(四)市民手部肌肉力量素质需进一步加强
国家制定的《国民体质测定标准》规定,单项指标的合格率理论界限是65%,按照国家理论界限65%分析,反映下肢弹跳能力的纵跳(93.3%);反映人体平衡能力的闭眼单足站立(85.2%);反映人体上肢、肩背部肌肉力量及持续工作能力的俯卧撑(85.5%);反映人体腰腹部肌肉力量及持续工作能力的一分钟仰卧起坐(85.1%);反映灵敏性的选择反应时(81.4%);反映人体柔韧性的坐位体前屈达标率(66.9%);反映人体前臂及手部肌肉力量素质的握力(58.2%)。上述身体素质指标除握力达标率低于国家制定标准时确定的理论达标率(65%)水平,其余身体素质指标达标率均超过65%,表明我市市民手部肌肉力量素质需进一步加强。(图6)

图6 深圳市素质类各指标达标率情况图
三、建议
(一)各级政府深入贯彻落实《深圳市全民健身实施计划(2022-2025年)》,充分发挥媒体的作用,加大全民健身宣传力度,引导市民进行科学健身活动。推动城市社区运动场地设施建设,支持在市政公园、交通枢纽、旅游景点、街头绿地等建设健身场地设施,不断增加全民健身场地供给。大力推广“一网统管、一体统筹、一键预约”机制,加大智能化健身设施配建力度,推出更多科学健身指导“云上”供给,满足市民多元化、智能化、便利化的健身需求。
(二)针对深圳工作、生活节奏较快的特点,鼓励有条件的企业在保障工作质量的前提下,错峰安排职工工作和健身时段。推广全域健身理念,拓展健身空间,号召市民利用碎片化时间开展居家健身、工作地健身,将科学健身融入到生活方方面面。
(三)建议成年人应通过合理控制饮食和科学锻炼等方式预防肥胖和科学减肥。对减肥最有效的运动是有氧运动,尤其是消耗能量较多的慢跑、爬山、快步走、球类运动、游泳等。
(四)鼓励老年人积极参加适合自身年龄、身体状况的体育锻炼,如健步走、太极拳等;各街道、社区应多组织适合老年人的体育文化活动,丰富老年人体育文化生活,提高老年人身体素质,降低老年慢性病的发病率。
深圳市文化广电旅游体育局
2022年3月29日